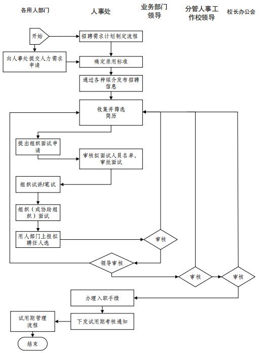
招聘流程图

来源:人事处 责编: 胡燕 作者: 李菁蔓 发布时间:2021-12-28 浏览量:5458